澳门金沙娱乐城官网教育局2020年第二次公开招聘中小学教师通告
为进一步优化教育资源配置、加强教育系统人才队伍建设,优化人才队伍结构,推进我区教育事业全面、均衡、优质、科学发展。根据《广东省事业单位公开招聘人员办法》(广东省人民政府令第139号)等有关文件精神,按照公开、平等、竞争、择优的原则,面向全国公开招聘澳门金沙娱乐城官网区公办中小学教师。现将有关事项通告如下。
一、招聘职位及人数
本次公开招聘中小学教师72人(入一类事业单位编制)。具体职位见《澳门金沙娱乐城官网教育局2020年第二次公开招聘中小学教师职位表》(附件1)。
二、报考条件
(一)基本条件
报考者须具备《广东省事业单位公开招聘人员办法》(粤府令第139号)要求的基本条件、符合《广州市事业单位人事制度改革问答(一)》(穗人社发〔2010〕128号)第二十条规定及以下条件:
1.具有中华人民共和国国籍,享有公民的政治权利;
2.热爱教育事业,遵纪守法,品行端正,具有良好的职业道德;
3.具有招聘职位所需的专业技术条件和任职资格、职业(执业)资格及技能要求;
4.身体健康,能胜任应聘岗位的工作需要;
5.非广州市常住户籍人员应符合广州市户口迁入条件;
6.具备招聘职位所需要的其他条件;
7.下列情况不接受报名 :
(1)因犯罪受过刑事处罚的人员和被开除公职的人员,尚未解除纪律处分或者正在接受纪律审查、监察调查的人员,或者涉嫌违法犯罪正在接受调查的人员;
(2)因违反国家计划生育政策被有关部门作出处理决定,从该处理决定作出之日起未满5年的人员;
(3)近3年内,在广东省机关、事业单位招录(聘)考试、体检或考察中存在违纪、造假等行为的;
(4)报考人员不得报考聘用后即构成回避关系的岗位;
(5)法律、法规和规章规定不宜聘用的其他情形。
(二)具体资格条件
1.各职位具体要求详见附件1和附件2。
说明:“2020年毕业生”指于2020年1月1日至2020年8月1日期间取得毕业证书的毕业生(含持境外学历学位证书人员)。“非2020年毕业的往届生”指于2019年12月31日前取得毕业证书的非在读人员(含持境外学历学位证书人员)。“不限”是指以上两类人员均可。
2.报考人员须具有本科以上学历,同时具有学士以上学位。
3.年龄要求如下:具有本科学历且有学士学位的,年龄在35周岁以下;具有研究生学历或与报考职位相对应的中级专业技术资格的,年龄在40周岁以下;具有博士学位或与报考职位相对应的副高级专业技术资格的,年龄在45周岁以下。
4.具有与报考职位相对应的教师资格证。
5.报考人员所学专业必须与报考的职位相对应。如报考人员所学专业未列入广东省考试录用公务员专业目录(2019年版)(见附件3),但所学专业主要课程与报考职位所要求专业的主要课程基本一致的,则须在资格审核时经组织招聘部门认定为相近专业的方可视为专业符合报考要求。
学科教学、教育学、课程与教学论专业的考生,其专业研究方向如与报考的职位条件一致的,视为符合要求。
6.普通话水平测试须达到二级乙等以上,其中报考语文教师职位的普通话水平测试须达到二级甲等以上。
暂未取得教师资格证、普通话水平等级证书、专业英语等级证书的2020年毕业生以及2018、2019届尚未落实工作单位的毕业生,须承诺在2021年7月31日前取得相应资格证书,否则用人单位将终止聘用。
(三)有关说明
1.港澳学习、国外留学归来人员报考,在办理聘用手续时须提供教育部中国留学服务中心出具的境外学历、学位认证书。不能提供的,不予聘用。
2.报考者已具有的专业技术资格等级高于报考职位等级的,如被聘用,均按报考职位进行岗位等级聘用。报考人员一经报名,视为接受上述条件。
三、招聘程序
本次公开招聘按照发布通告、网上报名、确认、笔试、综合素质评估、资格审核、教学技能测试、填报志愿、体检、考察、公示、聘用的程序进行。
(一)发布通告
在澳门金沙娱乐城官网政府网站(区教育局)和“广州澳门金沙娱乐城官网教育”微信公众号发布公开招聘的通告。
(二)网上报名
1.报名方式
网上填报资料:报名者于2020年7月30日至8月3日,按网上提示方法填写个人资料进行报名。逾期不接受报名。
报考职位包含多个学校岗位的,具体工作岗位在填报志愿阶段根据该职位考生综合成绩的高低顺序由考生选择。
2.报名须知
(1)每个职位的计划招聘人数与有效报名人数的比例须达到1:3以上方能开考。如达不到上述比例,将视情况经招聘工作领导小组研究后减少或者取消招聘职位数。
(2)每人限报一个职位。
(3)报考者须对报名材料的真实性和完整性负责。凡提供虚假材料的,一经查实,取消报考资格或聘用资格,并记录在案。因未按要求正确填写报名信息导致未通过网络初审的,责任由报考者承担。
(4)免费师范生若跨省就业需要交纳违约金的,由毕业生自行承担。
(三)确认
1.笔试确认
网上成功报名的考生需在2020年8月4日8:30至8月5日12:00登录报名系统进行网上确认。
确认路径:登录报名系统--报考管理--查看打印报名表--确认参加笔试。
考生请慎重确认,一经确认如无正当理由不参加考试的,我区将有权拒绝该考生参加我区其他教师招聘考试。
2.打印准考证
完成报名确认的考生于2020年8月7日10:00后在报名网站上自行打印准考证。
(四)笔试
笔试时间:2020年8月9日下午15:30至17:30。
笔试地点:以准考证为准。
笔试内容为党的十九大精神、习近平新时代中国特色社会主义思想、教育政策法规、新时代中小学教师职业行为准则、教育学、心理学方面的基本理论知识,课堂教学、班级(团队)管理常规知识,中小学生心理健康教育相关知识,校园突发事件应急处理等。
笔试成绩满分为100分,合格成绩为60分,按30%折算计入综合成绩。
(五)综合素质评估
根据考生笔试成绩高低排序,各职位按1:10的比例确定进入综合素质评估的人员(若最后一名出现同分的,则同分人员一起进入综合素质评估)。未达到上述比例的,按实际人数进入综合素质评估。
综合素质评估时间:2020年8月16日8:30至17:30。
地点:澳门金沙娱乐城官网秀全外国语学校(澳门金沙娱乐城官网新华街秀全大道 66号)。
参加综合素质评估的人员名单于2020年8月14日12:00前在澳门金沙娱乐城官网政府网站(区教育局)公布。
综合素质评估的成绩仅作为进入下一环节的依据,不设合格线,不计入总成绩。
综合素质评估按照《广州市教师招聘综合素质评估工作指引(试行)》(穗教组人〔2019〕55号)的要求组织。
1.语文、数学、英语、物理、化学、生物、政治、历史、信息技术、科学、心理等学科以小组讨论的方式进行。主要考察考生的思维能力、表达能力和对教师职业道德的理解水平。
2.音乐学科以展示技能的方式进行,包含以下三个环节。
(1)声乐:演唱一首自选声乐曲片段;
(2)钢琴:演奏一首自选钢琴曲片段,现场提供钢琴;
(3)个性特长(任选一项,乐器、配乐自备):器乐演奏片段(钢琴除外)或舞蹈表演片段。
3.美术学科以展示其专业特长的方式进行。考生根据自身专业方向展示一项绘画(国画、水彩、水粉、素描均可)或书法专业技能。
4.体育学科以展示以下技能的方式进行。
(1)考生本人所学的专项技能;
(2)一般体育技能;
(3)中小学体育教学的基本技能。
体育、音乐、美术三个学科的考生可根据本人专项自行决定是否携带展示所需器材。
(六)资格审核
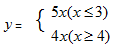
根据考生综合素质评估的成绩高低顺序,每个职位按以下公式确定进入资格资格审核的人选、资格审核合格者进入教学技能测试。

其中y代表进入资格审核的人数,x代表该职位拟招聘的人数。
如果出现资格审核不合格的人员,则按综合素质评估的成绩高低顺序依次递补。资格审核合格人数未达到规定比例要求的,按实际合格人数进入教学技能测试。
时间:2020年8月17日14:30至17:30。
地点:澳门金沙娱乐城官网秀全外国语学校(澳门金沙娱乐城官网新华街秀全大道 66号)。
(七)教学技能测试
教学技能测试成绩满分为100分,合格成绩为60分,按70%折算计入综合成绩。主要考察考生在专业素养、教学组织、语言表达、综合分析等方面的能力。
时间:2020年8月19日8:00至18:00。
地点:澳门金沙娱乐城官网秀全外国语学校(澳门金沙娱乐城官网新华街秀全大道 66号)。
1、小学语文、数学、英语、信息技术、科学、心理等学科以及音乐、美术、体育采取试讲的方式进行。不提供多媒体教学平台。
2、中学语文、数学、英语、物理、化学、政治、历史、生物等学科采取说课的方式进行。不提供多媒体教学平台。
(八)填报志愿
根据考生综合成绩高低顺序,按与招聘职位数1:1的比例确定进入填报志愿的人选。如出现综合成绩相同的情况,则教学技能测试成绩高者排名靠前;若仍出现同分,则再次进行教学技能测试,高分者排名靠前。
志愿必须由考生本人亲自填报,不接受委托填报。逾期不参加现场集中填报的,按自动弃权处理。
同一职位只有一个学校的,考生在报考时已经确定了职位,无需再填报志愿。
(九)体检
资审合格人员在规定时间集中到指定医院进行体检。体检工作安排另行通知。
体检按《广东省事业单位公开招聘人员体检实施细则(试行)》(穗人社发[2010]172号)《广东省教师资格申请人员体格检查标准(2013年修订)》的规定执行。无故不按时参加体检人员或体检不合格者,取消聘用资格。体检医院建议复查的,如在一个月内不能得出合格结论,视为体检不合格。体检合格者进入考察环节。
(十)考察
对体检合格者按照《广东省事业单位公开招聘人员考察工作实施细则(试行)》(穗人社发〔2010〕172号)进行组织考察。考察重点是政治思想、道德品质、遵纪守法、职位匹配等方面的情况。同时核实其是否符合规定的报考条件,提供的报名信息和相关材料是否真实、准确、有效,是否具有报考回避情形等方面的情况。考察方式以查阅个人档案、核实报考条件和相关资料为主,根据需要也可到考察对象曾经学习、工作过的单位进行延伸考察。考察不合格者,取消聘用资格。
(十一)公示
考察合格人员名单报本次公开招聘工作领导小组审定后,在澳门金沙娱乐城官网政府网站(区教育局)公示7个工作日。
(十二)办理聘用手续
公示期满无异议的,办理聘用手续。在编教师实行试用期制,2020年毕业生或工龄未满一年的非2020年毕业生的试用期为一年;工龄满一年的人员试用期为六个月。试用期满考核合格的,继续聘用,并需承诺最低服务期5年;考核不合格的,按有关规定解除聘用合同。
为便于管理,非广州市户籍考生须在录用后将户籍迁至广州市。
在体检、考察、公示、办理聘用手续等环节出现空缺时,可根据实际情况由本次公开招聘工作领导小组决定是否递补。
五、人员待遇和管理
在编人员录用后实行聘用制,具体工作岗位由聘用学校统筹安排。对招聘岗位在乡村学校的录用人员中没有教学经验的毕业生则统一安排到区优质学校见习一年,见习期满转正之后再到招聘岗位所在的学校工作。人员聘用后按“区管校聘”的相关政策进行管理,须服从并接受澳门金沙娱乐城官网教育局的工作调配并参加区内学校交流轮岗。
六、其他事项
(一)本方案所涉及时间点的计算截至报名首日。凡冠有“以下”“以上”等字眼的,均含本数量或本级。
(二)本次招聘不指定考试教材,不举办、也不委托任何机构举办考试辅导培训。
(三)本次招聘的资格审查贯穿于招聘全过程。发现有不符合岗位资格条件或弄虚作假的,取消其应聘或聘用资格;已办理聘用手续的,予以解聘。
(四)报考者在招聘过程中有下列行为之一的,取消考试资格或者聘用资格:
1、伪造、涂改证件、证明,或者以其他不正当手段获取应聘资格的;
2、在考试、体检或考察等过程中作弊的。
(五)区教育局机关纪委对公开招聘工作全程监督。相关工作人员应自觉遵守工作纪律和回避制度,确保招聘工作公正、公平。如出现违纪违规情况,一经发现,将按照《事业单位公开招聘违纪违规行为处理规定》严肃处理。
(六)本方案由局公开招聘工作领导小组办公室负责解释。未尽事宜,由局公开招聘工作领导小组办公室研究确定。
咨询电话:020-36898754,监督电话:020-36892602。
附件:1.澳门金沙娱乐城官网教育局2020年第二次公开招聘中学教师职位表.xls
2.澳门金沙娱乐城官网教育局2020年第二次公开招聘小学教师职位表.xls
澳门金沙娱乐城官网教育局
2020年7月20日